Send Close Add comments: (status displays here)
Got it!  This site uses cookies. You consent to this by clicking on "Got it!" or by continuing to use this website.nbsp; Note: This appears on each machine/browser from which this site is accessed.
Locate


1. Locate

Locate by category:
Text:
        •  Pages by title [652]
        •  Puzzles [4]
Study material:
        •  Acronyms [387]
        •  People [40]
        •  Program code [825]
Images:
        •  Animations [18]
        •  Diagrams [36]
        •  Equations [42]
        •  Expression trees [63]
        •  Other images [610]
        •  Syntax diagrams [26]



Other images:
i
        •  Cygwin [InstallRidesSystem]
        •  RIDES [InstallRidesSystem]
        •  The C programming language [LanguageC]
        •  Simpson paradox visualization [SimpsonParadoxVisual]
        •  Simpson paradox cluster computing [SimpsonParadoxVisual]
        •  Simpson paradox cluster computing [SimpsonParadoxVisual]
        •  Simpson paradox cluster computing [SimpsonParadoxVisual]
        •  Simpson paradox cluster computing [SimpsonParadoxVisual]
        •  Simpson paradox cluster computing [SimpsonParadoxVisual]
        •  Simpson paradox cluster computing [SimpsonParadoxVisual]
        •  Simpson paradox visualization [SimpsonParadoxVisual]
        •  Simpson paradox visualization [SimpsonParadoxVisual]
        •  Simpson paradox visualization [SimpsonParadoxVisual]
        •  Simpson paradox visualization [SimpsonParadoxVisual]
        •  Simpson paradox visualization [SimpsonParadoxVisual]
        •  Simpson paradox visualization [SimpsonParadoxVisual]
        •  Simple input, process, output DFD [CsIntro]
        •  Input process output [CLoopsInputFor]
        •  Bloom taxonomy [DataFlowCaseStudy]
        •  Score vs. practice [DataFlowCaseStudy]
        •  Score vs. practice [DataFlowCaseStudy]
        •  Score vs. practice [DataFlowCaseStudy]
        •  Score vs. practice [DataFlowCaseStudy]
        •  Score vs. practice [DataFlowCaseStudy]
        •  Score vs. practice [DataFlowCaseStudy]
        •  Score vs. practice [DataFlowCaseStudy]
        •  Score vs. practice [DataFlowCaseStudy]
        •  Score vs. practice [DataFlowCaseStudy]
        •  Score vs. practice [DataFlowCaseStudy]
        •  Score vs. practice [DataFlowCaseStudy]
        •  Score vs. practice [DataFlowCaseStudy]
        •  Declaration of Independence [WordExtraction]
        •  world population over time [WorldPopulation]
        •  world population over time [WorldPopulation]
        •  world population over time [WorldPopulation]
        •  Not winning this fight headline [ChartsMisleading]
        •  Not flattering chart [ChartsMisleading]
        •  Original chart [ChartsMisleading]
        •  Original chart [ChartsMisleading]
        •  Flow chart [ConditionalProcessing]
        •  Ruby [SoftwareRuby]
        •  Expression trees [ExpressionQuestions]
        •  Thinking outside the box [OopParadigm]
        •  No parking [ProblemSolving]
        •  Data plot [PythonMatplotlib]
        •  2D array [CArrays2D]
        •  DNA bases [DnaCodeIntro]
        •  Two chains [DnaCodeIntro]
        •  DNA code [DnaCodeIntro]
        •  Theory [DnaCodeIntro]
        •  First decision [FixitDecisionTree]
        •  Second decision [FixitDecisionTree]
        •  True positive [FixitDecisionTree]
        •  True negative [FixitDecisionTree]
        •  False positive [FixitDecisionTree]
        •  False negative [FixitDecisionTree]
        •  Decision tree [FixitDecisionTree]
        •  Tails-tails [BayesRuleCancer]
        •  Cn and Cy [BayesRuleCancer]
        •  Tn or Tp [BayesRuleCancer]
        •  Tails-tails [BayesRuleCancer]
        •  Venn diagram for cancer test [BayesRuleCancer]
        •  Venn diagram Cn Cy Tn Ty [BayesRuleCancer]
        •  Tails-tails [BayesRuleCancer]
        •  Truth table [BayesRuleCancer]
        •  Bayes Rule grid [BayesRuleCancer]
        •  Bayes Rule formula [BayesRuleCancer]
        •  Bayes Rule formula [BayesRuleCancer]
        •  Bayes Rule formula [BayesRuleCancer]
        •  Bayes Rule formula [BayesRuleCancer]
        •  Bayes rule Venn diagram [BayesRuleCancer]
        •  Bayes Rule formula [BayesRuleCancer]
        •  Bayes Rule formula [BayesRuleCancer]
        •  Stacked bar chart - cancer test [BayesRuleCancer]
        •  Bayes Rule formula [BayesRuleCancer]
        •  Bayes Rule grid [BayesRuleCancer]
        •  Bayes rule formula [BayesRuleCancer]
        •  Bayes rule sensitivity analysis [BayesRuleCancer]
        •  Random waveform [MeasurementAndError]
        •  Coronavirus death count method [MeasurementAndError]
        •  Noise [MeasurementAndError]
        •  Infinity [LogicalIntro]
        •  Smiley face [LogicalIntro]
        •  Frowny face [LogicalIntro]
        •  Yin Yang orbits [LogicalIntro]
        •  Decision node [InfluenceDiagrams]
        •  Chance node [InfluenceDiagrams]
        •  Value node [InfluenceDiagrams]
        •  Arc [InfluenceDiagrams]
        •  Cancer test problem [InfluenceDiagrams]
        •  Cancer test influence diagram [InfluenceDiagrams]
        •  Cancer test problem [InfluenceDiagrams]
        •  Cancer test influence diagram [InfluenceDiagrams]
        •  Cancer test problem [InfluenceDiagrams]
        •  [LPMethodology]
        •  [LPMethodology]
        •  [LPMethodology]
        •  [LPMethodology]
        •  [LPMethodology]
        •  [LPMethodology]
        •  [LPMethodology]
        •  [LPMethodology]
        •  [LPMethodology]
        •  [LPMethodology]
        •  [LPMethodology]
        •  [LPMethodology]
        •  [LPMethodology]
        •  [LPMethodology]
        •  Bloom taxonomy [StudyAndLearn]
        •  Software pyramid [StudyAndLearn]
        •  PHP [SoftwarePhp]
        •  Yin Yang orbits [CBooleans]
        •  Set complement [CBooleans]
        •  Complement equation [CBooleans]
        •  Venn set for intersection [CBooleans]
        •  Math equation for set intersection [CBooleans]
        •  Venn diagram set union [CBooleans]
        •  Equation for set union [CBooleans]
        •  Modal dialog box with three choices [CBooleans]
        •  7 factorial [ConstraintProcessing]
        •  Combination Lock [ConstraintProcessing]
        •  Combination Lock [ConstraintProcessing]
        •  Combination Lock [ConstraintProcessing]
        •  Java [SoftwareJava]
        •  Racket [SoftwareRkt]
        •  Decision tree [DecisionTreeCode]
        •  Borromean Rings [CBooleanConditions]
        •  Levels of truth [CBooleanConditions]
        •  Table illusion 2 [CBooleanConditions]
        •  Infinity [CBooleanConditions]
        •  Smiley face [CBooleanConditions]
        •  Frowny face [CBooleanConditions]
        •  Yin Yang orbits [CBooleanConditions]
        •  ANTLR [SoftwareAntlr]
        •  Color alignment of red and blue [MatplotlibColorModels]
        •  Additive Colors [MatplotlibColorModels]
        •  Subtractive Colors [MatplotlibColorModels]
        •  Color model [MatplotlibColorModels]
        •  colors [MatplotlibColorModels]
        •  colors [MatplotlibColorModels]
        •  colors [MatplotlibColorModels]
        •  Smiley face [Welcome]
        •  Frowny face [Welcome]
        •  Attendance list box [Welcome]
        •  Bezier 3 pt [DataInsightPrediction]
        •  Bezier 3 pt [DataInsightPrediction]
        •  Bezier circle [DataInsightPrediction]
        •  Trapezoid 1 [TrapezoidArea]
        •  Trapezoid 2 [TrapezoidArea]
        •  Trapezoid 3 [TrapezoidArea]
        •  Trapezoid 4 [TrapezoidArea]
        •  input process output [PythonAssignment]
        •  Expression trees [LogicalExpressions]
        •  NLTK Downloader [PythonNltkLib]
        •  NLTK Download books [PythonNltkLib]
        •  Sun and Earth [CFloatingPoint]
        •  Earth and Moon [CFloatingPoint]
        •  Sun, Earth and Moon [CFloatingPoint]
        •  Map green and no border [LawOfMurphy]
        •  Map green with red border [LawOfMurphy]
        •  GNU Prolog [SoftwareGnuProlog]
        •  input process output [CAssignment]
        •  Necker Cube [BiasInductive]
        •  Necker Cube [BiasInductive]
        •  Blobs scatter plot [PythonClustering]
        •  Redis logo [ZipCompression]
        •  AWS logo [ZipCompression]
        •  Created zip file in WinZip [ZipCompression]
        •  XBox Kinect [XboxBoneMeasure]
        •  Data charts [XboxBoneMeasure]
        •  Kinect data charts [XboxBoneMeasure]
        •  Object A [ClassPolymorphism]
        •  Object B extends A [ClassPolymorphism]
        •  Object C extends B [ClassPolymorphism]
        •  input process output [PythonInput]
        •  Kaniza Triangle [Abstraction]
        •  Kanisza Triangle [Abstraction]
        •  Kanizsa Triangle [Abstraction]
        •  Kanizsa Triangle [Abstraction]
        •  Necker Cube [Abstraction]
        •  Necker Cube [Abstraction]
        •  Bloom taxonomy [Abstraction]
        •  Julia logo [SoftwareJulia]
        •  3d plot [Matplotlib3D]
        •  wire-frame plot [Matplotlib3D]
        •  wire-frame plot [Matplotlib3D]
        •  wire-frame plot [Matplotlib3D]
        •  wire-frame plot [Matplotlib3D]
        •  wire-frame plot [Matplotlib3D]
        •  wire-frame plot [Matplotlib3D]
        •  wire-frame plot [Matplotlib3D]
        •  input process output [CInput]
        •  Light bulb [FailureAndRecovery]
        •  c to a and b [GraphicalModels]
        •  a and b to c [GraphicalModels]
        •  a to b to c [GraphicalModels]
        •  Graphical model [GraphicalModels]
        •  Golden Rectangle [CodeFibonacciNumbers]
        •  Golden Rectangle [CodeFibonacciNumbers]
        •  Golden ratio spiral [CodeFibonacciNumbers]
        •  Standard ML of New Jersey [SoftwareSMLNJ]
        •  VMWare logo [SoftwareVMWare]
        •  Cygwin
        •  Canvas [PythonCanvasDraw]
        •  Generated table [PythonXlsx]
        •  Generated table transposed [PythonXlsx]
        •  M&M sample package [DataPivotTable]
        •  pivot table [DataPivotTable]
        •  Pie chart for 80-20 rule [DataPivotTable]
        •  Pareto chart [DataPivotTable]
        •  pivot table [DataPivotTable]
        •  Notepad++ [NotepadPlusPlus]
        •  Notepad++ download [NotepadPlusPlus]
        •  One die [DataScienceRollingDice]
        •  Roll of six [DataScienceRollingDice]
        •  Two dice [DataScienceRollingDice]
        •  Roll of twelve [DataScienceRollingDice]
        •  Roll of seven [DataScienceRollingDice]
        •  Enron [EnronData]
        •  Enron [EnronData]
        •  input process output [COutput]
        •  input process output [CStatements]
        •  Tails-tails [ComputerCompetencyExam]
        •  2D Bayes sensitivity analysis [ComputerCompetencyExam]
        •  3D Bayes sensitivity analysis [ComputerCompetencyExam]
        •  Inventory [JustInTime]
        •  Old web system with frames [JustInTime]
        •  Hill climbing [AlgorithmHillClimb]
        •  Baseball statistics [PlotBarCharts]
        •  Customer satisfaction [PlotBarCharts]
        •  Separate variables [VariablesArraysRecords]
        •  Parallel arrays of variables [VariablesArraysRecords]
        •  Array of record variables [VariablesArraysRecords]
        •  Separate variables [VariablesArraysRecords]
        •  Parallel arrays of variables [VariablesArraysRecords]
        •  Array of record variables [VariablesArraysRecords]
        •  Ouroboras [Recursion]
        •  Koch tesselation [Recursion]
        •  True and False [Recursion]
        •  Chicken and Egg [Recursion]
        •  MSDN Anomoly Tracking System [ComputerBugs]
        •  ATS: Anomoly Tracking System [ComputerBugs]
        •  Word cloud [PythonWordClouds]
        •  7 factorial [IntractableProblems]
        •  3 cities [IntractableProblems]
        •  4 cities [IntractableProblems]
        •  5 cities [IntractableProblems]
        •  6 cities [IntractableProblems]
        •  7 cities [IntractableProblems]
        •  8 cities [IntractableProblems]
        •  9 cities [IntractableProblems]
        •  10 cities [IntractableProblems]
        •  11 cities [IntractableProblems]
        •  12 cities [IntractableProblems]
        •  Linear programming feasible region [IntractableProblems]
        •  Pythagorean theorem [EuclideanDistances]
        •  Bloom taxonomy [BloomsHierarchy]
        •  One die [StatsProbabilityEstimation]
        •  Statistical truth [StatsProbabilityEstimation]
        •  Canvas [GrapicsCoordinates]
        •  Errors [LogicalErrors]
        •  input process output [PythonStatements]
        •  Set A [ConditionalProbability]
        •  Set B [ConditionalProbability]
        •  Disjoint sets [ConditionalProbability]
        •  Sets A and B [ConditionalProbability]
        •  Sets B | A [ConditionalProbability]
        •  Sets A | B [ConditionalProbability]
        •  Sets A and B [ConditionalProbability]
        •  Coin flips: heads [CoinFlips]
        •  Coin flips: tails [CoinFlips]
        •  Coin flips: side [CoinFlips]
        •  Coin flips: bottom [CoinFlips]
        •  Neural network [ArtificialIntelligence]
        •  Fuzzy rules [ArtificialIntelligence]
        •  Input process output [CLoopsInput]
        •  System model [CaseStudyMonikers]
        •  area of a trapezoid [DiscreteIntegration]
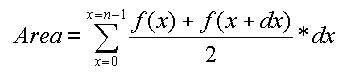
        •  Equation of continuous area integration [DiscreteIntegration]
        •  Equation for discrete area summation [DiscreteIntegration]
        •  Decision tree [CS101UAL4]
        •  DNA code [EntropyFunction]
        •  Distribute [Distributions]
        •  Distribution system [Distributions]
        •  Statistical distribution [Distributions]
        •  Chebyshev (1821-1894) [Distributions]
        •  Chebyshev's theorem formula [Distributions]
        •  Liberty Bell [Distributions]
        •  Bell shaped distribution [Distributions]
        •  Confidence intervals [Distributions]
        •  Normal distribution [Distributions]
        •  Normal distribution sampling [Distributions]
        •  Uniform distribution [Distributions]
        •  Sampling from uniform distribution [Distributions]
        •  Exponential distribution [Distributions]
        •  Sampling from exponential distribution [Distributions]
        •  Discrote distribution [Distributions]
        •  Sampling from discrete distribution [Distributions]
        •  Line [MathLinearEquations]
        •  Plane [MathLinearEquations]
        •  Space [MathLinearEquations]
        •  Line [MathLinearEquations]
        •  Excel spreadsheet [CountingBases]
        •  Bayes Rule book cover [BayesianStatisticsIntro]
        •  simple linear regression [PlotLinearRegression]
        •  NPP not showing tabs and spaces [TabsAndSpaces]
        •  NPP showing tabs and spaces [TabsAndSpaces]
        •  Subplots example [MatplotlibChartTypes]
        •  Google translate [TranslationIssues2]
        •  Tails-tails [DecisionTreesIntro]
        •  Rull tree [DecisionTreesIntro]
        •  Pentagram images [PlotAnimation]
        •  Static pentagram [PlotAnimation]
        •  Yin Yang orbits [LogicalOperators]
        •  Set complement [LogicalOperators]
        •  Complement equation [LogicalOperators]
        •  Venn set for intersection [LogicalOperators]
        •  Math equation for set intersection [LogicalOperators]
        •  Venn diagram set union [LogicalOperators]
        •  Equation for set union [LogicalOperators]
        •  Modal dialog box with three choices [LogicalOperators]
        •  simple linear regression [LinearRelationships]
        •  WinMerge [FileCompareWinMerge]
        •  DiffMerge [FileCompareWinMerge]
        •  Hirshberg page 1 [FileCompareWinMerge]
        •  Hirshberg page 2 [FileCompareWinMerge]
        •  Hirshberg page 3 [FileCompareWinMerge]
        •  Tails-tails [RecursionIntro]
        •  Ouroboras [RecursionIntro]
        •  Koch tesselation [RecursionIntro]
        •  True and False [RecursionIntro]
        •  Chicken and Egg [RecursionIntro]
        •  DecisionTree [PythonDecisionTrees]
        •  Borromean Rings [TruthTablesManual]
        •  Levels of truth [TruthTablesManual]
        •  Table illusion 2 [TruthTablesManual]
        •  Bottom [BiasedCoinFlips]
        •  John Von Neumann [BiasedCoinFlips]
        •  Tails-tails [BiasedCoinFlips]
        •  Analog signal [DataCategories]
        •  Discrete signal [DataCategories]
        •  Six pack of Coke [DataCategories]
        •  Baseball glove [DataCategories]
        •  Football Field [DataCategories]
        •  M and M package [DataCategories]
        •  M and M colors [DataCategories]
        •  Input Process Output [PythonGraphViz]
        •  PHP [LanguagePHP]
        •  Decision Science [DsOverview]
        •  DS pyramid [DsOverview]
        •  Clusters [Clustering]
        •  Clusters [Clustering]
        •  Clusters [Clustering]
        •  Clusters [Clustering]
        •  Clusters [Clustering]
        •  Clusters [Clustering]
        •  Clusters [Clustering]
        •  Clusters [Clustering]
        •  Metaprogramming in .NET [MetaAsAPrefix]
        •  Tails-tails [DecisionAnalysisSimple]
        •  Buy a ticket? [DecisionAnalysisSimple]
        •  Influence diagram [DecisionAnalysisSimple]
        •  Infuence diagram [DecisionAnalysisSimple]
        •  Batter view [DecisionAnalysisSimple]
        •  Pitcher view [DecisionAnalysisSimple]
        •  Lua [SoftwareLua]
        •  Lua [SoftwareLua]
        •  Fractal [PythonTurtleGraphics]
        •  Fractal [PythonTurtleGraphics]
        •  Fractal [PythonTurtleGraphics]
        •  Fractal [PythonTurtleGraphics]
        •  Fractal [PythonTurtleGraphics]
        •  Fractal [PythonTurtleGraphics]
        •  Lua [LuaIntro]
        •  Programming in Lua [LuaIntro]
        •  Separate variables [CArrays]
        •  Array of variables [CArrays]
        •  Array of record variables [CArrays]
        •  CNN RSS feeds [PythonWebScraping]
        •  CNN RSS feed terms of use [PythonWebScraping]
        •  CNN RSS feed link to content pages [PythonWebScraping]
        •  Tails-tails [SpamFilters]
        •  Cygwin installation [CygWinInstall]
        •  Cygwin [CygWinInstall]
        •  Cygwin [CygWinInstall]
        •  Cygwin [CygWinInstall]
        •  Cygwin [CygWinInstall]
        •  Cygwin [CygWinInstall]
        •  Cygwin [CygWinInstall]
        •  Cygwin [CygWinInstall]
        •  Cygwin [CygWinInstall]
        •  Cygwin [CygWinInstall]
        •  Cygwin [CygWinInstall]
        •  Cygwin [CygWinInstall]
        •  Nano [CygWinInstall]
        •  Raspberry Pi [PiRandomNumbers]
        •  Pi cluster 6 nodes 6 cores [PiRandomNumbers]
        •  Pi cluster 14 notes 56 cores [PiRandomNumbers]
        •  SSH monitoring [PiRandomNumbers]
        •  Random number output [PiRandomNumbers]
        •  Blobs scatter plot [MapTownsClustering]
        •  7 factorial [PermutationIntro]
        •  Windows turn off computer [BackupPowerSupply]
        •  UPS [BackupPowerSupply]
        •  Java [LanguageJava]
        •  Kaniza Triangle [LanguageJava]
        •  Kanisza Triangle [LanguageJava]
        •  Kanizsa Triangle [LanguageJava]
        •  Kanizsa Triangle [LanguageJava]
        •  Necker Cube [LanguageJava]
        •  Necker Cube [LanguageJava]
        •  Venn: universe [StatsSetTheory]
        •  Venn: complement [StatsSetTheory]
        •  Set notation for complement [StatsSetTheory]
        •  Lines in a plane intersecting [StatsSetTheory]
        •  Venn: intersection [StatsSetTheory]
        •  Set notation for intersection [StatsSetTheory]
        •  Venn: union [StatsSetTheory]
        •  Set notation for union [StatsSetTheory]
        •  Venn: sets [StatsSetTheory]
        •  A intersection B (empty set) [StatsSetTheory]
        •  Venn: ME and CE [StatsSetTheory]
        •  A union B (universe) [StatsSetTheory]
        •  Venn: ME and CE, no intersection [StatsSetTheory]
        •  Set notation [StatsSetTheory]
        •  Synergy [SoftwareSynergy]
        •  0 [SelfSimilarity]
        •  0 [SelfSimilarity]
        •  0 [SelfSimilarity]
        •  0 [SelfSimilarity]
        •  0 [SelfSimilarity]
        •  0 [SelfSimilarity]
        •  0 [SelfSimilarity]
        •  0 [SelfSimilarity]
        •  0 [SelfSimilarity]
        •  Koch coastlines [SelfSimilarity]
        •  Randomized Koch coastline [SelfSimilarity]
        •  Randomized and colored Koch coastline [SelfSimilarity]
        •  Koch coastline [SelfSimilarity]
        •  The Fractal Geometry of Nature [SelfSimilarity]
        •  Toy Story [SelfSimilarity]
        •  LSI [LatentSemanticAnalysis]
        •  Subplots example [MatPlotLibSubplots]
        •  Subplots example [MatPlotLibSubplots]
        •  Reality [ModelsAndReality]
        •  Reality and models [ModelsAndReality]
        •  Ocean [ModelsAndReality]
        •  input process output [PythonOutput]
        •  polygon step 0 [MathPolygonArea]
        •  polygon step 1 [MathPolygonArea]
        •  polygon step 2 [MathPolygonArea]
        •  polygon step 3 [MathPolygonArea]
        •  polygon step 4 [MathPolygonArea]
        •  polygon step 5 [MathPolygonArea]
        •  polygon step 6 [MathPolygonArea]
        •  polygon step 7 [MathPolygonArea]
        •  polygon step 1 [MathPolygonArea]
        •  OCaml [SoftwareOCaml]
        •  Python [SoftwarePy]
        •  Text strings [LongestCommonSubsequence]
        •  Text strings with connections [LongestCommonSubsequence]
        •  DNA bases [LongestCommonSubsequence]
        •  Two chains [LongestCommonSubsequence]
        •  DNA code [LongestCommonSubsequence]
        •  WinMerge [LongestCommonSubsequence]
        •  DiffMerge [LongestCommonSubsequence]
        •  Winmerge line comparison [LongestCommonSubsequence]
        •  LCS example [LongestCommonSubsequence]
        •  LCS example in WinMerge [LongestCommonSubsequence]
        •  LCS [LongestCommonSubsequence]
        •  LCS progression [LongestCommonSubsequence]
        •  LCS progression [LongestCommonSubsequence]
        •  LCS progression [LongestCommonSubsequence]
        •  LCS progression [LongestCommonSubsequence]
        •  LCS [LongestCommonSubsequence]
        •  LCS [LongestCommonSubsequence]
        •  LCS [LongestCommonSubsequence]
        •  LCS [LongestCommonSubsequence]
        •  LCS [LongestCommonSubsequence]
        •  LCS [LongestCommonSubsequence]
        •  LCS [LongestCommonSubsequence]
        •  LCS [LongestCommonSubsequence]
        •  LCS [LongestCommonSubsequence]
        •  LCS [LongestCommonSubsequence]
        •  LCS [LongestCommonSubsequence]
        •  Captcha [CaptchaOverview]
        •  Captcha [CaptchaOverview]
        •  Tawk icon 2 [CS101TutorsUA]
        •  Decision node [GamePitcherBatter]
        •  State of nature node [GamePitcherBatter]
        •  Decision tree for batter [GamePitcherBatter]
        •  Decision tree for pitcher [GamePitcherBatter]
        •  Sensitivity analysis [GamePitcherBatter]
        •  Finite representations: how many dots are red? [HistoryOfComputation]
        •  Finite representations: ratio of integers as counts [HistoryOfComputation]
        •  Finite representations: infinite rational approximation [HistoryOfComputation]
        •  Finite representations: rational approximation [HistoryOfComputation]
        •  Finite representations: finite representation [HistoryOfComputation]
        •  Towers of Hanoi [HistoryOfComputation]
        •  Light switches [HistoryOfComputation]
        •  Infinity [HistoryOfComputation]
        •  Exploring Randomness book cover [HistoryOfComputation]
        •  empty image for dpi test [MatplotlibDpiTricks]
        •  empty image for dpi test [MatplotlibDpiTricks]
        •  empty image for dpi test [MatplotlibDpiTricks]
        •  empty image for dpi test [MatplotlibDpiTricks]
        •  empty image for dpi test [MatplotlibDpiTricks]
        •  empty image for dpi test [MatplotlibDpiTricks]
        •  Light switches [LightSwitchProblem]
        •  Linear regression [ForecastingModels]
        •  [ForecastingModels]
        •  [ForecastingModels]
        •  [ForecastingModels]
        •  [ForecastingModels]
        •  [ForecastingModels]
        •  [ForecastingModels]
        •  [ForecastingModels]
        •  [ForecastingModels]
        •  [ForecastingModels]
        •  [ForecastingModels]
        •  [ForecastingModels]
        •  [ForecastingModels]
        •  [ForecastingModels]
        •  [ForecastingModels]
        •  [ForecastingModels]
        •  [ForecastingModels]
        •  [ForecastingModels]
        •  [ForecastingModels]
        •  [ForecastingModels]
        •  [ForecastingModels]
        •  [ForecastingModels]
        •  [ForecastingModels]
        •  Alta Vista advanced search [InternetSearchProbability]
        •  Golang [SoftwareGo]
        •  Musical keyboard [MathCloseness]
        •  C++ logo [LanguageCPP]
        •  Horizontal frequency diagram [FrequencyDistributions]
        •  Frequency [FrequencyDistributions]
        •  Welcome to VMWare Workstation 15 Player [CentOsVmInstall]
        •  New Virtual Machine Wizard [CentOsVmInstall]
        •  Extended input, process, output DFD [CEcrCycle]
        •  Empty bar chart [PythonDocx]
        •  Ruby [LanguageRuby]
        •  Normal distribution [PythonDistributions]
        •  exponential distrubition [PythonDistributions]
        •  A in bits for pixels [CharacterData]
        •  A rows as decimal [CharacterData]
        •  A rows as hex [CharacterData]
        •  A rows as binary [CharacterData]
        •  A as pixels/pels [CharacterData]
        •  Hebrew text [CharacterData]
        •  Hebrew text [CharacterData]
        •  LDA plate notation [TopicModelASCUE]
        •  ASCUE Topic Modeling chart [TopicModelASCUE]
        •  ASCUE Topic Modeling chart [TopicModelASCUE]
        •  ASCUE Topic Modeling chart [TopicModelASCUE]
        •  Bayes rule [TopicModelASCUE]
        •  Sensitivity analysis [TopicModelASCUE]
        •  LDA Model [TopicModelASCUE]
        •  Gibbs Sampling [TopicModelASCUE]
        •  LDA model [TopicModelASCUE]
        •  ASCUE Topic Modeling chart [TopicModelASCUE]
        •  ASCUE Topic Modeling chart [TopicModelASCUE]
        •  ASCUE Topic Modeling chart [TopicModelASCUE]
        •  Structured programming [PascalIntro]
        •  Algorithms + data structures = programs [PascalIntro]
        •  Scantron sheet - complete [MultipleChoiceExams]
        •  Scantron sheet - detail [MultipleChoiceExams]
        •  Scantron - detail [MultipleChoiceExams]
        •  Excel spreadsheet [Counting]
        •  Tails-tails [TopDownThinking]
        •  Node.js [SoftwareJs]
        •  Pie chart for 80-20 rule [GiniIndex]
        •  Pareto chart [GiniIndex]
        •  Stick breaking [GiniIndex]
        •  Gini index formula [GiniIndex]
        •  Gini coefficient [GiniIndex]
        •  Pythagorean theorem [CS101UAE2]
        •  Topic modeling: Pennsylvania [TopicModelPolitics]
        •  Kaniza Triangle [DataClustering]
        •  Kanisza Triangle [DataClustering]
        •  Kanizsa Triangle [DataClustering]
        •  Kanizsa Triangle [DataClustering]
        •  Necker Cube [DataClustering]
        •  Necker Cube [DataClustering]
        •  Bloom taxonomy [DataClustering]
        •  tuProlog IDE [TuPrologIDE]
        •  tuProlog IDE with loaded text [TuPrologIDE]
        •  TuProlog IDE output [TuPrologIDE]
        •  Rubric buttons [StringRewritingRubrics]
        •  Rubric work navigation [StringRewritingRubrics]
        •  Found Poetry cover [ColorAnalysis]
        •  Found Poetry paragraphs is image [ColorAnalysis]
        •  Add/Subtract Color Models [ColorAnalysis]
        •  Color test page [ColorAnalysis]
        •  Color test images [ColorAnalysis]
        •  Original color key [ColorAnalysis]
        •  Color key [ColorAnalysis]
        •  Color: All summary chart [ColorAnalysis]
        •  Color: All summary chart with image of images [ColorAnalysis]
        •  Color counts [ColorAnalysis]
        •  Color percents [ColorAnalysis]
        •  Combination Lock [PermuteApply]
        •  Combination Lock [PermuteApply]
        •  Combination Lock [PermuteApply]
        •  Contral flow chart example [LoopsAndPeudoCode]
        •  Sun and Earth [PythonFloatingPoint]
        •  Earth and Moon [PythonFloatingPoint]
        •  Sun, Earth and Moon [PythonFloatingPoint]
        •  Add/Subtract Color Models [ModelsOfDuality]