Send Close Add comments: (status displays here)
Got it!  This site uses cookies. You consent to this by clicking on "Got it!" or by continuing to use this website.nbsp; Note: This appears on each machine/browser from which this site is accessed.
Locate


1. Locate

Locate by category:
Text:
        •  Pages by title [652]
        •  Puzzles [4]
Study material:
        •  Acronyms [387]
        •  People [40]
        •  Program code [825]
Images:
        •  Animations [18]
        •  Diagrams [36]
        •  Equations [42]
        •  Expression trees [63]
        •  Other images [610]
        •  Syntax diagrams [26]



Expression trees:
e
        •  Expression tree for ((m ^ k) ^ k ) = m [OneTimePads]
        •  Expression tree for p = ( q ^ ( q ^ p )) [OneTimePads]
        •  Expression tree question [ExpressionQuestions]
        •  Expression tree question [ExpressionQuestions]
        •  Expression tree question [ExpressionQuestions]
        •  Expression tree question [ExpressionQuestions]
        •  Expression tree question [ExpressionQuestions]
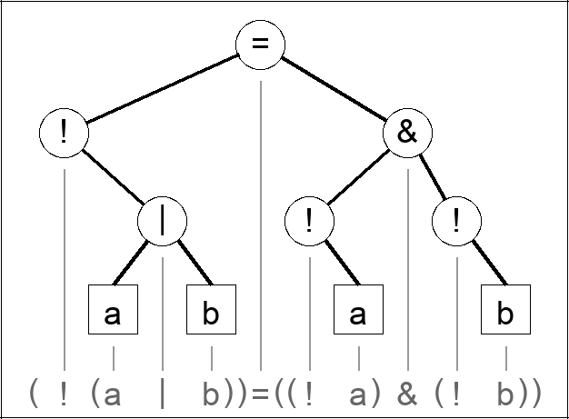
        •  Expression tree for (X & Y) | ((! X) & (! Y)) [CodeGenerate]
        •  Expression tree for x ^ (y ^ x) [AxiomsSwapXor]
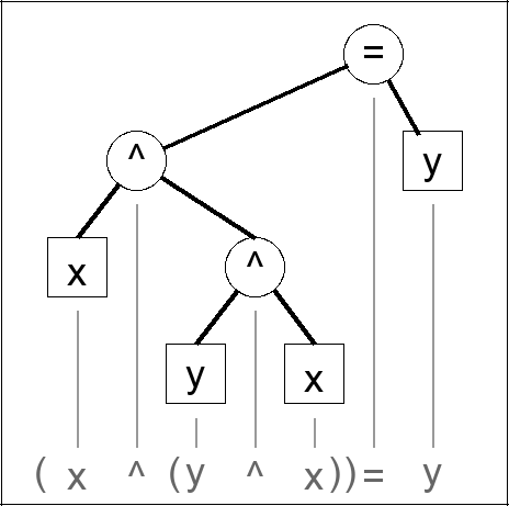
        •  Expression tree for (x ^ (y ^ x)) = y [AxiomsSwapXor]
        •  Expression tree for X = Y [PrologTruthTables]
        •  Expression tree for (X & Y) | ((! X) & (! Y)) [PrologTruthTables]
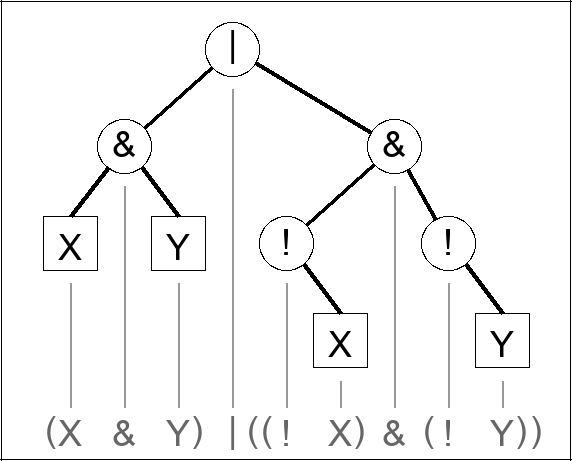
        •  Expression tree for (X & Y) | ((! X) & (! Y)) [LogicalExpressions]
        •  Expression tree for (X & Y) | ((! X) & (! Y)) [LogicalExpressions]
        •  Expression tree for (X & Y) | ((! X) & (! Y)) [LogicalExpressions]
        •  Expression tree question [LogicalExpressions]
        •  Expression tree question [LogicalExpressions]
        •  Expression tree question [LogicalExpressions]
        •  Expression tree question [LogicalExpressions]
        •  Expression tree question [LogicalExpressions]
        •  Expression tree for X & Y [ListStructures]
        •  Expression tree for X !& Y [NandOperator]
        •  Expression tree for (X !& Y) !& (X !& Y) [NandOperator]
        •  Expression tree for (X & Y) = ((X !& Y) !& (X !& Y)) [NandOperator]
        •  Expression tree for (3 + 4) * 5 [PythonExpressions]
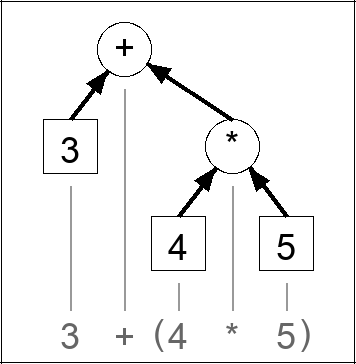
        •  Expression tree for 3 + (4 * 5) [PythonExpressions]
        •  Expression tree for ( X & Y ) | (( ! X ) & (! Y )) [OperatorPrecedenceParsing]
        •  Expression tree for (3 + 4) * 5 [CExpressions]
        •  Expression tree for 3 + (4 * 5) [CExpressions]
        •  Expression tree for (X & Y) | ((! X) & (! Y)) [DecisionTreesIntro]
        •  Expression tree for (X & Y) | ((! X) & (! Y)) [TruthTablesManual]
        •  Expression tree for (X & Y) | ((! X) & (! Y)) [TruthTablesManual]
        •  Expression tree for X = Y [TruthTablesManual]
        •  Expression tree for a = 1 [TruthTablesManual]
        •  Expression tree for a [TruthTablesManual]
        •  Expression tree for (a = 1) = a [TruthTablesManual]
        •  Expression tree for g = ((g & c) | (g & (! c))) [TruthTablesManual]
        •  Expression tree for ! X [CTruthTables]
        •  Expression tree for X && Y [CTruthTables]
        •  Expression tree for X || Y [CTruthTables]
        •  Expression tree for (! X) = (1 - X) [BooleanUsingIntegers]
        •  Expression tree for (X & Y) = (X * Y) [BooleanUsingIntegers]
        •  Expression tree for (X | Y) = ((X + Y) - (X * Y)) [BooleanUsingIntegers]
        •  Expression tree for (X ^ Y) = ((X + Y) % 2) [BooleanUsingIntegers]
        •  Expression tree for (X = Y) = ((X + Y + 1) % 2) [BooleanUsingIntegers]
        •  Expression tree for (! (a & b)) = ((! a) | (! b)) [DemorgansLaws]
        •  Expression tree for (! (a | b)) = ((! a) & (! b)) [DemorgansLaws]
        •  Expression tree for (X & Y) | ((! X) & (! Y)) [TreeEvaluate]
        •  Expression tree for (X & Y) | ((! X) & (! Y)) [PostfixToTree]
        •  Expression tree for (X & Y) | ((! X) & (! Y)) [StackBasedCode]
        •  Expression tree for (X & Y) | ((! X) & (! Y)) [StackBasedCode]
        •  Expression tree for (X & Y) | ((! X) & (! Y)) [StackBasedCode]
        •  Expression tree for (X & Y) | ((! X) & (! Y)) [TruthTablesProgrammed]
        •  Expression tree for (X & Y) | ((! X) & (! Y)) [TruthTablesProgrammed]
        •  Expression tree for (X & Y) | ((! X) & (! Y)) [TruthTablesProgrammed]
        •  Expression tree for w + (x + (y + z)) [Associativity]
        •  Expression tree for w + ((x + y) + z) [Associativity]
        •  Expression tree for (w + x) + (y + z) [Associativity]
        •  Expression tree for (w + (x + y)) + z [Associativity]
        •  Expression tree for ((w + x) + y) + z [Associativity]
        •  Expression tree for X !| Y [NorOperator]
        •  Expression tree for ((X !& X) !& (Y !& Y)) !& ((X !& X) !& (Y !& Y)) [NorOperator]
        •  Expression tree for (X !| Y) = (((X !& X) !& (Y !& Y)) !& ((X !& X) !& (Y !& Y))) [NorOperator]