Send Close Add comments: (status displays here)
Got it!  This site uses cookies. You consent to this by clicking on "Got it!" or by continuing to use this website.nbsp; Note: This appears on each machine/browser from which this site is accessed.
Stack-based code execution


1. Stack-based code execution

2. Stack
A stack is a list in which the following operations are available. Note: Each programming language has one or more ways to accomplish these operations.

3. Stack-based code
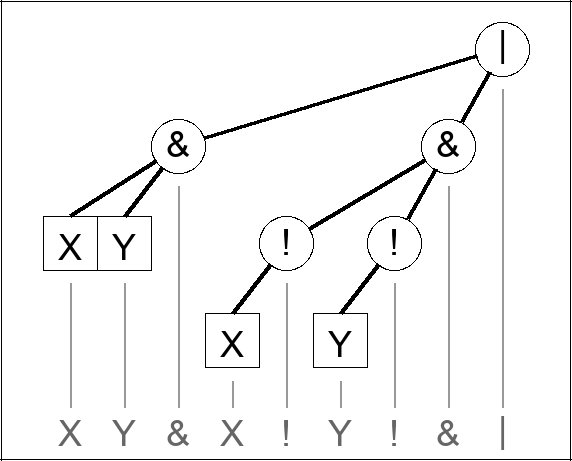
Expression tree for (X & Y) | ((! X) & (! Y))A stack-based code (is a simple code execution model that) executes by traversing through the code and executing each element of the code using the stack.

Let us use our running logical expression example.
( X & Y ) | ( ( ! X ) & ( ! Y ) )


4. Logical expression
Expression tree for (X & Y) | ((! X) & (! Y))Note that in a postfix representation, the operator is traversed last. And, in evaluation, both operands are needed before the operator can be applied. So, by an induction argument, a postfix representation can be used as a stack-based code to determine the value of an expression, given the values of the logical variables.

5. Environment
A simple variable environment (without scope) can be implemented using a dictionary.

Suppose that x has the value 0 and that y has the value 1.

Here is a dictionary that could express this idea.

6. Postfix representation and code list.
Here is the postfix representation.
   x y & x ! y ! & |

Here is a list that can represent the code.
codeList1 = [    ["var", "x"],    ["var", "y"],    ["op2", "and"],    ["var", "x"],    ["op1", "not"],    ["var", "y"],    ["op1", "not"],    ["op2", "and"],    ["op2", "or"],    ]


7. Variable dictionary
The environment of the logical variables can be represented as a dictionary. Here is an example for x with the value of 0 and y with the value of 1.
varDict1 = {    "x" : 0,    "y" : 1,    }


8. Execution code

function execute(codeList1,varDict1) {    var n1 = codeList1.length;    var stack1 = [];    for (var i1=0; i1 < n1; i1++) {       var code1 = codeList1[i1];       var type1 = code1[0];       var value1 = 0;;       if (type1 == "var") {          var name1 = code1[1];          value1 = varDict1[name1];          }       else if (type1 == "int") {          value1 = code1[1];          }       else if (type1 == "op1") {          var op1 = code1[1];          var y1 = stack1.pop();          if (op1 == "not") {             value1 = 1 - y1;             }          }       else if (type1 == "op2") {          var op2 = code1[1];          var y1 = stack1.pop();          var x1 = stack1.pop();          if (op2 == "and") {             value1 = x1 * y1;             }          else if (op2 == "or") {             value1 = x1 + y1 - x1*y1;             }          else if (op2 == "xor") {             value1 = (x1 + y1) % 2;             }          else if (op2 == "eqv") {             value1 = (x1 + y1 + 1) % 2;             }          }       stack1.push(value1);       }    return stack1[0];    }


9. Induction argument
Expression tree for (X & Y) | ((! X) & (! Y))An induction argument considers the various cases of the tree. Each type of node leaves one value on the stack. When a submode is called, it leaves one item on the stack. One item for unary operators. Two items for binary operators. Here is a code example, with print statements interspersed to trace what is happening.

Here is the JavaScript code.

Here is the output of the JavaScript code.

Note: How might we dynamically determine the values for the logical variables given a variable number of variables?

10. End of page