Send
Close Add comments:
(status displays here)
Got it! This site uses cookies. You consent to this by clicking on "Got it!" or by continuing to use this website.nbsp; Note: This appears on each machine/browser from which this site is accessed.
NAND operator
1. NAND operator
2. Tree representation
3. Nand operator

The Nand, for negative-and, operator is expressed as follows.
X !& Y
4. Extended truth table
Here is the extended truth table.
X Y | X !& Y
------------
0 0 | 0 1 0
0 1 | 0 1 1
1 0 | 1 1 0
1 1 | 1 0 1
5. JSON prefix tree
Here is a one way to represent a pretty-printed prefix tree in JSON list form.
["op2","nand",
["var","X"],
["var","Y"]
]
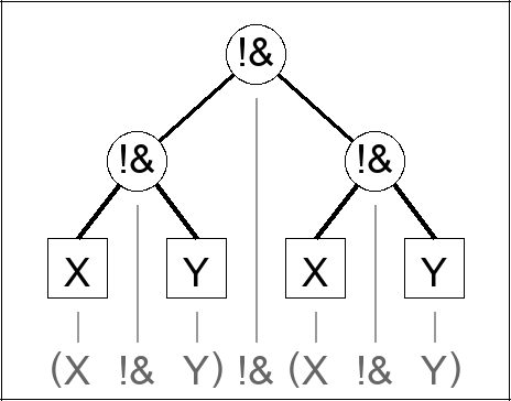
6. Equivalence

The logical and "
&" is equivalent to the following.
X Y | ( X !& Y ) !& ( X !& Y )
------------------------------
0 0 | ( 0 1 0 ) 0 ( 0 1 0 )
0 1 | ( 0 1 1 ) 0 ( 0 1 1 )
1 0 | ( 1 1 0 ) 0 ( 1 1 0 )
1 1 | ( 1 0 1 ) 1 ( 1 0 1 )
7. JSON prefix tree
Here is a one way to represent a pretty-printed prefix tree in JSON list form.
["op2","nand",
["op2","nand",
["var","X"],
["var","Y"]
],
["op2","nand",
["var","X"],
["var","Y"]
]
]
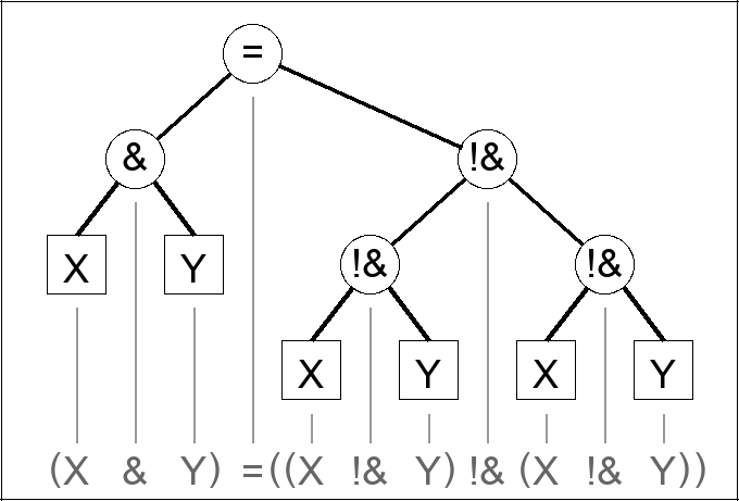
8. Proof

Here is the proof.
X Y | ( X & Y ) = ( ( X !& Y ) !& ( X !& Y ) )
----------------------------------------------
0 0 | ( 0 0 0 ) 1 ( ( 0 1 0 ) 0 ( 0 1 0 ) )
0 1 | ( 0 0 1 ) 1 ( ( 0 1 1 ) 0 ( 0 1 1 ) )
1 0 | ( 1 0 0 ) 1 ( ( 1 1 0 ) 0 ( 1 1 0 ) )
1 1 | ( 1 1 1 ) 1 ( ( 1 0 1 ) 1 ( 1 0 1 ) )
9. JSON prefix tree
Here is a one way to represent a pretty-printed prefix tree in JSON list form.
["op2","eq",
["op2","and",
["var","X"],
["var","Y"]
],
["op2","nand",
["op2","nand",
["var","X"],
["var","Y"]
],
["op2","nand",
["var","X"],
["var","Y"]
]
]
]
10. End of page