Send
Close Add comments:
(status displays here)
Got it! This site uses cookies. You consent to this by clicking on "Got it!" or by continuing to use this website.nbsp; Note: This appears on each machine/browser from which this site is accessed.
Euclidean distances
1. Euclidean distances
The Euclidean distance between two points is the straight line distance between the points in a non-curved space.
2. Pythagoras

The idea is directly related to the Pythagorean theorem of right triangles (in any dimension).
In the image, the (red) vertical/rise y distance is
3, the (green) horizontal/run x distance is
4, and the (blue) hypotenuse distance is
5.
52 = 42 + 32
3. One dimension
The distance
d between points x
1 and x
2 on a line is determined as follows.

The above math formula can be written as the following coding expressions (as assignment statements).
d = sqrt( pow(x2-x1,2))
d = x2 - x1
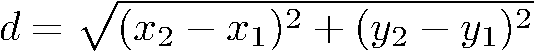
4. Two dimensions
The distance
d between points (x
1, y
1) and (x
2, y
2) in a plane is determined as follows.

The above math formula can be written as the following coding expression (as an assignment statement).
d = sqrt( pow(x2-x1,2) + pow(y2-y1,2))
If intermediate variables are used, such as
dx and
dy, then the above can be written as the following assignment statements. Note: As is always the case, variable declarations may be required.
dx = x2 - x2
dy = y2 - y1
d = sqrt(dx*dx + dy*dy)
Note: Once
dx and
dy are defined, one can just square the distances instead of using the
pow function to avoid repeating expressions.
5. Three dimensions
The distance
d between points (x
1, y
1, z
1) and (x
2, y
2, z
2) in a space is determined as follows.

The above math formula can be written as the following coding expression (as an assignment statement).
d = sqrt( pow(x2-x1,2) + pow(y2-y1,2) + pow(z2-z1, 2))
6. Generalization
This idea can be generalized to n-dimensional spaces as needed.
7. End of page
8. Multiple choice questions for this page
4 questions omitted (login required)