Send
Close Add comments:
(status displays here)
Got it! This site uses cookies. You consent to this by clicking on "Got it!" or by continuing to use this website.nbsp; Note: This appears on each machine/browser from which this site is accessed.
GraphViz: expression trees
1. GraphViz: expression trees
GraphViz is a
DSL (
Domain Specific Language) for creating diagram visualizations as images,
SVG (
Scalable Vector Graphics) , etc.
For installation information, see
Graphviz: dot .
2. Graphs
Many years ago, Microsoft (in Excel, etc.) emphasized that what had often been called graphs were now charts.
A graph is a collection of nodes with connections called edges.
In math, a graph is a collection of vertices with connections called arcs.
3. Graphs
A graph is a collection of nodes and edges connecting nodes.
Every edge in a directed graph has a direction from one node to the other node.
Every edge in an undirected graph does not have any direction.
A DAG (Directed Acyclic Graph) is a directed graph which has no cycles.
A connected graph with no cycles (directed or undirected) can always be represented as a tree structure.
4. Hello world in GraphViz

Here is the GraphViz diagram.
Here is the code that creates the diagram.
5. Hello world in GraphViz

Here is the GraphViz diagram.
Here is the code that creates the diagram.
6. Expression node tree as graph

Here is the GraphViz diagram.
The diagram is a
digraph where the tree has interior nodes as a
symbol.
Here is the code that creates the diagram.
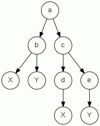
7. Expression node tree as digraph

Here is the GraphViz diagram.
The diagram is a
graph where the tree has interior nodes as a
symbol.
Here is the code that creates the diagram.
8. Expression variable tree as graph

Here is the GraphViz diagram.
The diagram is a
digraph where the tree has interior nodes as a
variable.
Here is the code that creates the diagram.
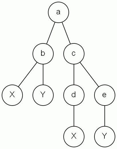
9. Expression variable tree as digraph

Here is the GraphViz diagram.
The diagram is a
graph where the tree has interior nodes as a
variable.
Here is the code that creates the diagram.
10. End of page
11. Acronyms and/or initialisms for this page
3 acronyms omitted (login required)